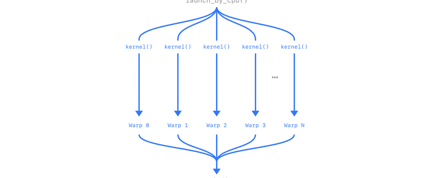
VectorWare мейтенят проекты rust-gpu и rust-cuda и пишут много статей о том, как запускать Rust на GPU.
В новой статье они рассказывают про запускт тредов. Вместо традиционного подхода, где ядро GPU запускает тысячи параллельных экземпляров одной функции, авторы предложили эмулировать модель выполнения CPU: при запуске активен только один поток или варп, который выполняет функцию main, а вызов thread::spawn() активирует спящие варпы для выполнения замыканий.
Такой подход позволяет использовать стандартные абстракции Rust, включая borrow checker и lifetimes
01.04.2026
Похожее
17.04.2026
История Linux
Хотите немного истории? Вот Dockerfile и Rust-код для создания полной истории...
15.04.2026
Traceroute на Rust
Автор показывает, как написать упрощённый аналог traceroute на Rust примерно на ...
14.04.2026
Сюрпризы заимствования
Прикольная статья в которой вам действительно показывают самые разные сбрпризы, ...
14.04.2026
Вызываем Rust из Go
В принципе, нет никаких сложностей работать с Rust через cgo. Но автор решил зам...